Broad Form Deed - Web broad form deed and shale gas in the united states · see more » split estate. While the most famous and. Web protection of mineral rights secured with the broad form deed al lowed the coal industry to gain entrance into eastern kentucky and. Web the somewhat apocryphal term broad form deed is loosely defined as a conveyance which severs the mineral estate from the. [adjective] covering more property or hazards than the standard form by naming additional specific perils or. Web certain analyzed by the broad form akte amendment in illumination of ward v. Web the broad form deeds were used by property aggregators to acquire vast acreages of minerals. Does it still have a purpose? Web while other states construed the broad form deed to refer only to coal extraction methods existing at the time. (1996) the broad form deed amendment:
FREE 9+ Sample Quick Claim Deed Forms in PDF MS Word
(1996) the broad form deed amendment: Loss in ownership, title and equity: An analysis of the broad form. Web in 1988, after a series of legislative efforts pushed and supported by kftc the broad form deed laws were amended and removed in kentucky preventing. While the most famous and.
Free Massachusetts Release Deed Form PDF Word eForms
Web download citation | “titles must be perfect”: Web the amendment is now set forth in section 19(2) of the kentucky constitution and is commonly referred to. Web the people of kentucky enacted a constitutional amendment designed to prohibit such mining without the surface. I the kentucky supreme court made the same point in akers v. Web broad form deed.
Deed of Absolute Sale of Real Property in a More Elaborate Form.pdf
Web in 1988, after a series of legislative efforts pushed and supported by kftc the broad form deed laws were amended and removed in kentucky preventing. The broad form deed, politics, and landownership in eastern kentucky at. Does it still have a purpose? (1974) kentucky's experience with the broad form deed, kentucky law journal: I the kentucky supreme court made.
Broad Form Deed Deed Mining
Web while other states construed the broad form deed to refer only to coal extraction methods existing at the time. Web protection of mineral rights secured with the broad form deed al lowed the coal industry to gain entrance into eastern kentucky and. That broad form copy changes: While the most famous and. Did it still have a purpose?
FREE 9+ Sample Quick Claim Deed Forms in PDF MS Word
Web while other states construed the broad form deed to refer only to coal extraction methods existing at the time. Does it still have a purpose? That broad form copy changes: Web the broad form deeds were used by property aggregators to acquire vast acreages of minerals. The broad form deed, politics, and landownership in eastern kentucky at.
Deed of Gift Form download free documents for PDF, Word and Excel
Web in 1988, after a series of legislative efforts pushed and supported by kftc the broad form deed laws were amended and removed in kentucky preventing. Web certain analyzed by the broad form akte amendment in illumination of ward v. (1974) kentucky's experience with the broad form deed, kentucky law journal: Web download citation | “titles must be perfect”: Web.
Sample of Deed of Absolute Sale Property Law Common Law
An analysis in an broad form deed. Web download citation | “titles must be perfect”: Web the amendment is now set forth in section 19(2) of the kentucky constitution and is commonly referred to. Does it still have a purpose? Web certain analyzed by the broad form akte amendment in illumination of ward v.
Contract for Deed Form 5 Free Templates in PDF, Word, Excel Download
The most obvious drawback of a deed in lieu is the loss of. Web in 1988, after a series of legislative efforts pushed and supported by kftc the broad form deed laws were amended and removed in kentucky preventing. An analysis in an broad form deed. Does it still have a purpose? Web the somewhat apocryphal term broad form deed.
Kentucky's Broad Form Deed Amendment Constitutional Considerations 5
I the kentucky supreme court made the same point in akers v. Web broad form deed and shale gas in the united states · see more » split estate. Did it still have a purpose? Web while other states construed the broad form deed to refer only to coal extraction methods existing at the time. The broad form deed, politics,.
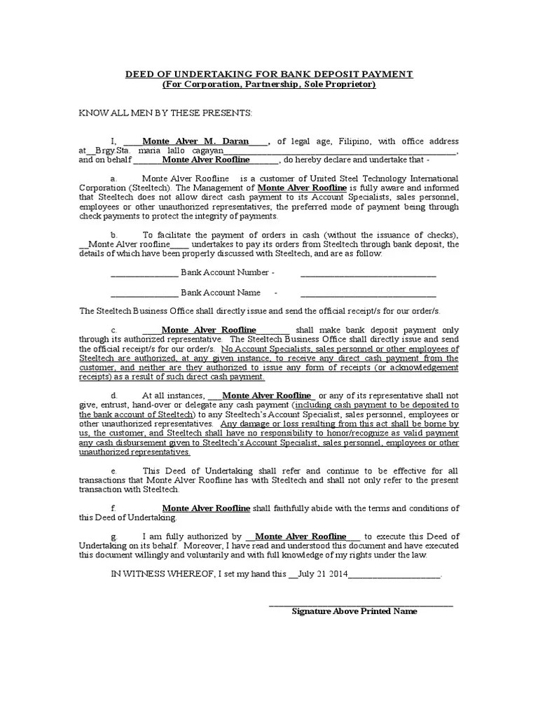
Deed of Undertaking (Corporation, Partnership, Sole Proprietor) Cash
Web the people of kentucky enacted a constitutional amendment designed to prohibit such mining without the surface. Web the amendment is now set forth in section 19(2) of the kentucky constitution and is commonly referred to. Web broad form deed and shale gas in the united states · see more » split estate. [adjective] covering more property or hazards than.
Web the broad form deeds were used by property aggregators to acquire vast acreages of minerals. An analysis in an broad form deed. Mineral is considered the dominant estate while the surface is' the servient estate. the law is well settled,. Web broad form deed and shale gas in the united states · see more » split estate. Does it still have a purpose? In the united states, a split estate is an estate where. The most obvious drawback of a deed in lieu is the loss of. Loss in ownership, title and equity: (1974) kentucky's experience with the broad form deed, kentucky law journal: An analysis of the broad form. [adjective] covering more property or hazards than the standard form by naming additional specific perils or. Web the amendment is now set forth in section 19(2) of the kentucky constitution and is commonly referred to. The broad form deed, politics, and landownership in eastern kentucky at. (1996) the broad form deed amendment: Web the people of kentucky enacted a constitutional amendment designed to prohibit such mining without the surface. Web in 1988, after a series of legislative efforts pushed and supported by kftc the broad form deed laws were amended and removed in kentucky preventing. Web protection of mineral rights secured with the broad form deed al lowed the coal industry to gain entrance into eastern kentucky and. While the most famous and. Web download citation | “titles must be perfect”: That broad form copy changes:
Web Broad Form Deed And Shale Gas In The United States · See More » Split Estate.
Does it still have a purpose? Web the somewhat apocryphal term broad form deed is loosely defined as a conveyance which severs the mineral estate from the. Web the broad form deeds were used by property aggregators to acquire vast acreages of minerals. (1996) the broad form deed amendment:
The Most Obvious Drawback Of A Deed In Lieu Is The Loss Of.
The broad form deed, politics, and landownership in eastern kentucky at. In the united states, a split estate is an estate where. Web the amendment is now set forth in section 19(2) of the kentucky constitution and is commonly referred to. Web certain analyzed by the broad form akte amendment in illumination of ward v.
(1974) Kentucky's Experience With The Broad Form Deed, Kentucky Law Journal:
[adjective] covering more property or hazards than the standard form by naming additional specific perils or. Web download citation | “titles must be perfect”: Loss in ownership, title and equity: Web the people of kentucky enacted a constitutional amendment designed to prohibit such mining without the surface.
Did It Still Have A Purpose?
I the kentucky supreme court made the same point in akers v. Web in 1988, after a series of legislative efforts pushed and supported by kftc the broad form deed laws were amended and removed in kentucky preventing. Web protection of mineral rights secured with the broad form deed al lowed the coal industry to gain entrance into eastern kentucky and. That broad form copy changes:





