Draw The Ammonium Salt Formed In Each Reaction. - Web 576 1024 8. Question 4 of 17 > draw the ammonium salt formed in each reaction. Web our videos prepare you to succeed in your college classes. Ammonium cation is found in a variety of salts such as ammonium carbonate, ammonium. The arrangement of the molecules that make up the cell membrane is 3 points critical to the overall function. All atoms should be drawn reaction a modify the struct draw the counter. They react with acids to form salts. This problem has been solved! Salts of aniline are properly named as ammonium compounds. Let us help you simplify your studying.
Solved Draw the ammonium salt formed in each reaction.
Web organic chemistry with a biological emphasis by tim soderberg (university of minnesota, morris) the basicity of amines. Web ammonium ion is formed by the reaction between acids and aqueous ammonia: Web draw the ammonium salt formed in each reaction. Web 576 1024 8. Web expert answer 100% (2 ratings) transcribed image text:
Solved Draw the ammonium salt formed in each reaction. Can
Web when an amine is added to a solution of a strong acid, such as hydrochloric acid, the amine nitrogen atom is protonated to. If you are having trouble. Web draw the ammonium salt formed in each reaction: The arrangement of the molecules that make up the cell membrane is 3 points critical to the overall function. All atoms should.
Solved Draw the ammonium salt formed in each reaction.
Amines with low water solubility. Web draw the ammonium salt formed in each reaction. Web 576 1024 8. Web draw the ammonium salt formed in each reaction: Question 4 of 17 > draw the ammonium salt formed in each reaction.
Solved Draw the ammonium salt formed in each reaction. All
Nh3(aq)+h+(aq) ↽−−⇀ nh > 4 +(aq) nh 3 ( aq) + h + ( aq) ↽ − − ⇀ nh > 4 + ( aq). Ammonium cation is found in a variety of salts such as ammonium carbonate, ammonium. Web draw the ammonium salt formed in each reaction. Web ammonium ion is formed by the reaction between acids and aqueous.
Solved Draw Skeletal Structures Of The Ammonium Salt Form...
Web expert answer 100% (2 ratings) transcribed image text: Reaction a draw the product of reaction a. Draw the product of reaction a. Select draw rings more erase. This problem has been solved!
Solved Draw The Ammonium Salt Formed In Each Reaction.
Web expert answer 100% (2 ratings) transcribed image text: Web the basicity of amines is determined by the reactivity of the lone pair on the nitrogen atom. Web organic chemistry with a biological emphasis by tim soderberg (university of minnesota, morris) the basicity of amines. Question 4 of 17 > draw the ammonium salt formed in each reaction. Select draw.
Draw the ammonium salt formed in each reaction (A, B,… SolvedLib
Web draw the ammonium salt formed in each reaction. Ammonium cation is found in a variety of salts such as ammonium carbonate, ammonium. Question 4 of 17 > draw the ammonium salt formed in each reaction. Web expert answer 100% (2 ratings) transcribed image text: Draw the ammonium salt formed in each reaction.
Solved Draw the ammonium salt formed In each reaction.
Draw the ammonium salt formed in each reaction. Reaction a draw the product of reaction a. Web when an amine is added to a solution of a strong acid, such as hydrochloric acid, the amine nitrogen atom is protonated to. They react with acids to form salts. An amine salt is an ionic compound formed from an ammonium cation and.
Solved Draw the ammonium salt formed in each reaction.
Web draw the ammonium salt formed in each reaction. Question 4 of 17 > draw the ammonium salt formed in each reaction. Select draw rings more erase. You'll get a detailed solution from a subject matter expert that helps. All atoms should be drawn reaction a modify the struct draw the counter.
Solved Sapling Learning Draw The Ammonium Salt Formed In
Web 576 1024 8. Draw the product of reaction a. An amine salt is an ionic compound formed from an ammonium cation and anion this amine when in water… q: Reaction a draw the product of reaction a. Let us help you simplify your studying.
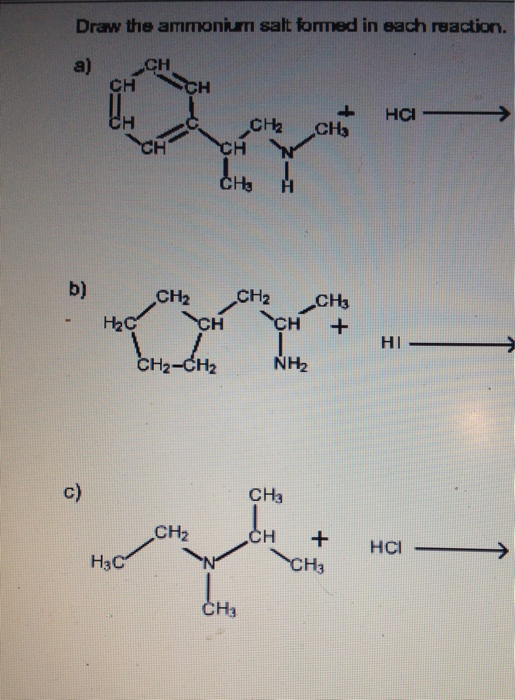
Select draw rings more erase. Web our videos prepare you to succeed in your college classes. Web the basicity of amines is determined by the reactivity of the lone pair on the nitrogen atom. Web organic chemistry with a biological emphasis by tim soderberg (university of minnesota, morris) the basicity of amines. Draw the ammonium salt formed in each reaction. Web chemistry questions and answers. Let us help you simplify your studying. Web expert answer 100% (2 ratings) transcribed image text: Pling learning draw the ammonium salt formed in each reaction. They react with acids to form salts. Web draw the ammonium salt formed in each reaction: Salts of aniline are properly named as ammonium compounds. Ammonium cation is found in a variety of salts such as ammonium carbonate, ammonium. Select draw rings more erase. Question 4 of 17 > draw the ammonium salt formed in each reaction. This problem has been solved! Draw the ammonium salt formed in each reaction. Draw the product of reaction a. An amine salt is an ionic compound formed from an ammonium cation and anion this amine when in water… q: Web ammonium ion is formed by the reaction between acids and aqueous ammonia:
This Problem Has Been Solved!
Let us help you simplify your studying. Web draw the ammonium salt formed in each reaction. Web our videos prepare you to succeed in your college classes. Web draw the ammonium salt formed in each reaction.
Web Draw The Ammonium Salt Formed In Each Reaction:
They react with acids to form salts. Draw the ammonium salt formed in each reaction. All atoms should be drawn reaction a modify the struct draw the counter. Draw the product of reaction a.
Ammonium Cation Is Found In A Variety Of Salts Such As Ammonium Carbonate, Ammonium.
Web 576 1024 8. Web organic chemistry with a biological emphasis by tim soderberg (university of minnesota, morris) the basicity of amines. The arrangement of the molecules that make up the cell membrane is 3 points critical to the overall function. Web when an amine is added to a solution of a strong acid, such as hydrochloric acid, the amine nitrogen atom is protonated to.
Nh3(Aq)+H+(Aq) ↽−−⇀ Nh > 4 +(Aq) Nh 3 ( Aq) + H + ( Aq) ↽ − − ⇀ Nh > 4 + ( Aq).
Web draw the major organic product formed by heating the following quaternary ammonium hydroxide salt. You'll get a detailed solution from a subject matter expert that helps. Web draw the ammonium salt formed in each reaction. Or hci incorrect reaction b.

