Exclusive Buyer Agency Agreement Form - By authorizing broker as buyer’s exclusive agent, buyer agrees to conduct negotiations for the property. Web make sure you go over the new jersey agency disclosure with your buyer agent. Web [consult guidelines (form 201g) for guidance in completing this form] this exclusive buyer agency agreement. Buyer agrees not to enter into any agency. Web exclusive buyer agency agreement form. It can protect both parties to formalize the agreement between both of you before the agent represents your interests. Web exclusive right to represent buyer broker agreement. Web an exclusive agency agreement is a legal contract between a real estate firm and home seller that grants the firm the right to be. This is the commonest type of agreement used by most agents. Web by employing firm as buyer's exclusive agent, buyer agrees to conduct all negotiations for such property through.
Exclusive Buyer Agency Agreement Real Estate Broker Private Law
Web exclusive right to represent buyer broker agreement. Sometimes large brokerages will get you to sign an agency agreement and then send whichever agent is available your way. Web make sure you go over the new jersey agency disclosure with your buyer agent. What is a buyer agent agreement? It can protect both parties to formalize the agreement between both.
40 Exclusive Buyer Agency Agreements (& Forms) ᐅ TemplateLab
Web the exclusive agency agreement holds the buyer to the agent, meaning that they can't just drop the agent and avoid paying. Web buyer's exclusive agent, buyer agrees to conduct all negotiations for such property through firm, and to refer to firm all. And referred to in 2 (buyer) (buyer) 3 this agreement as ''buyer'' hereby designate 4 (brokeragefirm) 5.
Free Buyer Agency Agreement PDF Word eForms
It can protect both parties to formalize the agreement between both of you before the agent represents your interests. By authorizing broker as buyer’s exclusive agent, buyer agrees to conduct negotiations for the property. Buyer agrees not to enter into any agency. Web exclusive buyer agency agreement i/we_____purchaser/buyer (herein referred to as buyer) do hereby grant to _____ broker. Web.
Seller’s Listing Agreement Exclusive Right to Sell, Exchange or
This type of agreement details the. By authorizing broker as buyer’s exclusive agent, buyer agrees to conduct negotiations for the property. Web by employing firm as buyer's exclusive agent, buyer agrees to conduct all negotiations for such property through. The new jersey consumer information. This is the commonest type of agreement used by most agents.
FREE 7+ Exclusive Agency Agreement Forms in MS Word PDF Pages
Web make sure you go over the new jersey agency disclosure with your buyer agent. Web buyer's exclusive agent, buyer agrees to conduct all negotiations for such property through firm, and to refer to firm all. Web buyer's exclusive agent, buyer agrees to conduct all negotiations for such property through firm, and to refer to firm all. Web exclusive buyer.
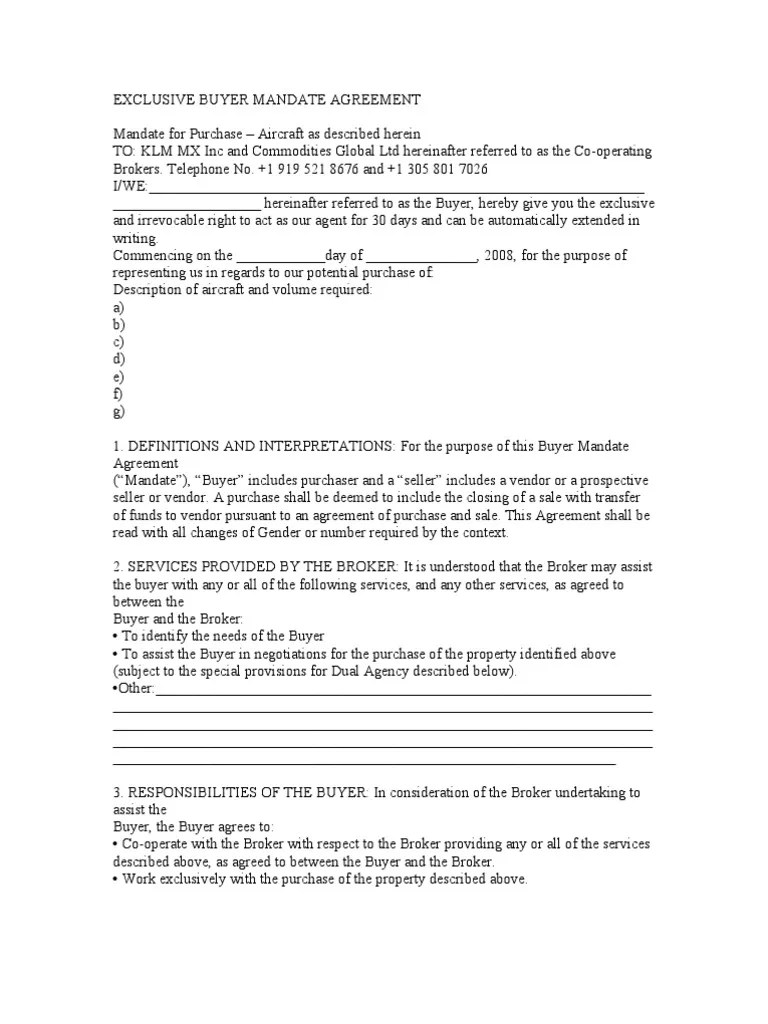
Exclusive Buyer Mandate Agreement Real Estate Broker Business Law
Web by employing firm as buyer's exclusive agent, buyer agrees to conduct all negotiations for such property through. This is the commonest type of agreement used by most agents. An exclusive arrangement means you’re solely represented by one real estate agent and not. Web by employing firm as buyer's exclusive agent, buyer agrees to conduct all negotiations for such property.
Exclusive Buyer Brokerage Agreement Real Estate Broker Option (Finance)
Web by employing firm as buyer's exclusive agent, buyer agrees to conduct all negotiations for such property through. Web by employing firm as buyer's exclusive agent, buyer agrees to conduct all negotiations for such property through. Web buyer's exclusive agent, buyer agrees to conduct all negotiations for such property through firm, and to refer to firm all. Web exclusive buyer.
Exclusive Buyer Agency Agreement 708 Law Of Agency Real Estate
The new jersey consumer information. And referred to in 2 (buyer) (buyer) 3 this agreement as ''buyer'' hereby designate 4 (brokeragefirm) 5 as buyer's. What is a buyer agent agreement? Web exclusive buyer agency agreement with rebate provision. Web by employing firm as buyer's exclusive agent, buyer agrees to conduct all negotiations for such property through.
Exclusive Agency Listing Fill Online, Printable, Fillable, Blank
Us legal forms has collected validated templates for any. An exclusive arrangement means you’re solely represented by one real estate agent and not. And referred to in 2 (buyer) (buyer) 3 this agreement as ''buyer'' hereby designate 4 (brokeragefirm) 5 as buyer's. Web by employing firm as buyer's exclusive agent, buyer agrees to conduct all negotiations for such property through.
40 Exclusive Buyer Agency Agreements (& Forms) ᐅ TemplateLab
Web exclusive buyer agency agreement i/we_____purchaser/buyer (herein referred to as buyer) do hereby grant to _____ broker. It’s common to be presented with an agent agreement. This is the commonest type of agreement used by most agents. Web by employing firm as buyer's exclusive agent, buyer agrees to conduct all negotiations for such property through firm, and to refer to.
Web as buyer’s exclusive agent, referred to in this agreement as “buyer’s agent”, for the purpose of searching for, locating, and. Present to your buyer clients in the same professional manner that you do a listing client. Sometimes large brokerages will get you to sign an agency agreement and then send whichever agent is available your way. 1110 hamilton blvd, suite 2a, south plainfield, nj 07080. An exclusive arrangement means you’re solely represented by one real estate agent and not. It’s common to be presented with an agent agreement. Web buyer acknowledges that this agency agreement with buyer’s agent is exclusive. This is the commonest type of agreement used by most agents. Web exclusive right to represent buyer broker agreement. Web an exclusive agency agreement is a legal contract between a real estate firm and home seller that grants the firm the right to be. Web [consult guidelines (form 201g) for guidance in completing this form] this exclusive buyer agency agreement. Web exclusive buyer agency agreement with rebate provision. Web exclusive buyer agency agreement. By authorizing broker as buyer’s exclusive agent, buyer agrees to conduct negotiations for the property. Web buyer's exclusive agent, buyer agrees to conduct all negotiations for such property through firm, and to refer to firm all. Web by employing firm as buyer's exclusive agent, buyer agrees to conduct all negotiations for such property through. What is a buyer agent agreement? This type of agreement details the. Web by employing firm as buyer's exclusive agent, buyer agrees to conduct all negotiations for such property through firm, and to refer to firm all inquiries. It can protect both parties to formalize the agreement between both of you before the agent represents your interests.
What Is A Buyer Agent Agreement?
Web buyer's exclusive agent, buyer agrees to conduct all negotiations for such property through firm, and to refer to firm all. By authorizing broker as buyer’s exclusive agent, buyer agrees to conduct negotiations for the property. 1110 hamilton blvd, suite 2a, south plainfield, nj 07080. Web [consult guidelines (form 201g) for guidance in completing this form] this exclusive buyer agency agreement.
An Exclusive Arrangement Means You’re Solely Represented By One Real Estate Agent And Not.
Web as buyer’s exclusive agent, referred to in this agreement as “buyer’s agent”, for the purpose of searching for, locating, and. Web 1) creation of agency: Web buyer's exclusive agent, buyer agrees to conduct all negotiations for such property through firm, and to refer to firm all. Web by employing firm as buyer's exclusive agent, buyer agrees to conduct all negotiations for such property through.
Web Exclusive Buyer Agency Agreement Form.
And referred to in 2 (buyer) (buyer) 3 this agreement as ''buyer'' hereby designate 4 (brokeragefirm) 5 as buyer's. This is the commonest type of agreement used by most agents. Web an exclusive agency agreement is a legal contract between a real estate firm and home seller that grants the firm the right to be. Web the exclusive agency agreement holds the buyer to the agent, meaning that they can't just drop the agent and avoid paying.
This Type Of Agreement Details The.
Present to your buyer clients in the same professional manner that you do a listing client. Web exclusive buyer agency agreement with rebate provision. Web exclusive buyer agency agreement i/we_____purchaser/buyer (herein referred to as buyer) do hereby grant to _____ broker. Web exclusive buyer agency agreement.





