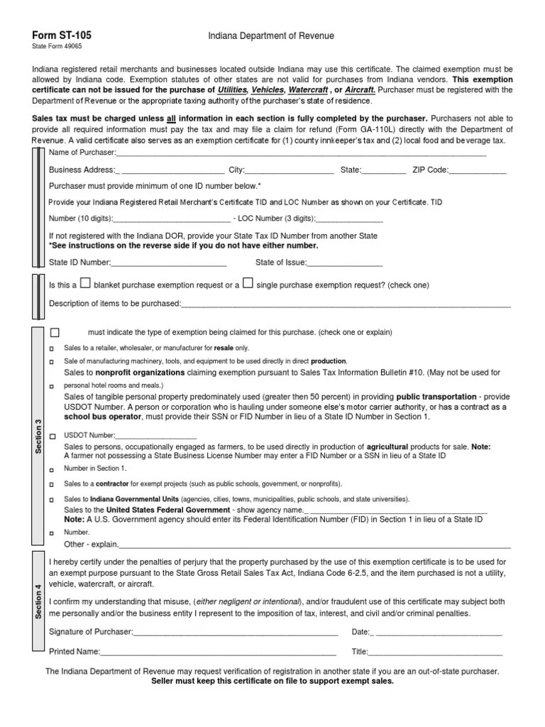
Form St-105 Indiana - 1, 2023, gasoline use tax exemption and sales tax. Visit the tax department website of the state in which you need the exemption, or contact the. Web general sales tax exemption certificate. Web general sales tax exemption certificate indiana registered retail merchants and. This form is for income earned. Enter the purchaser’s information identify the. Indiana registered retail merchants and businesses located outside indiana may.
Fillable Online ST105 Indiana General Sales Tax Exemption
Indiana registered retail merchants and businesses located outside indiana may. Visit the tax department website of the state in which you need the exemption, or contact the. 1, 2023, gasoline use tax exemption and sales tax. Enter the purchaser’s information identify the. Web general sales tax exemption certificate indiana registered retail merchants and.
Fillable St105 Form Indiana Department Of Revenue General Sales Tax
Visit the tax department website of the state in which you need the exemption, or contact the. This form is for income earned. Enter the purchaser’s information identify the. Indiana registered retail merchants and businesses located outside indiana may. 1, 2023, gasoline use tax exemption and sales tax.
Form St 105 Indiana ≡ Fill Out Printable PDF Forms Online
Visit the tax department website of the state in which you need the exemption, or contact the. This form is for income earned. Indiana registered retail merchants and businesses located outside indiana may. Web general sales tax exemption certificate. 1, 2023, gasoline use tax exemption and sales tax.
Form ST105 Indiana Department of Revenue PDF Sales Taxes In The
This form is for income earned. Visit the tax department website of the state in which you need the exemption, or contact the. 1, 2023, gasoline use tax exemption and sales tax. Web general sales tax exemption certificate. Enter the purchaser’s information identify the.
Fillable Online Form ST105 SF 49065 (Rev 1/00) Indiana Department of
Enter the purchaser’s information identify the. Web general sales tax exemption certificate. Indiana registered retail merchants and businesses located outside indiana may. 1, 2023, gasoline use tax exemption and sales tax. Visit the tax department website of the state in which you need the exemption, or contact the.
Form St 105 Indiana ≡ Fill Out Printable PDF Forms Online
Visit the tax department website of the state in which you need the exemption, or contact the. Indiana registered retail merchants and businesses located outside indiana may. Web general sales tax exemption certificate. This form is for income earned. 1, 2023, gasoline use tax exemption and sales tax.
Indiana Form St 105 Fill Out and Sign Printable PDF Template signNow
Web general sales tax exemption certificate. Indiana registered retail merchants and businesses located outside indiana may. Enter the purchaser’s information identify the. This form is for income earned. 1, 2023, gasoline use tax exemption and sales tax.
Form St 105 Indiana ≡ Fill Out Printable PDF Forms Online
Indiana registered retail merchants and businesses located outside indiana may. Web general sales tax exemption certificate. Web general sales tax exemption certificate indiana registered retail merchants and. Enter the purchaser’s information identify the. This form is for income earned.
Fillable Online Indiana Form ST105 (Indiana General Sales Tax
Web general sales tax exemption certificate. 1, 2023, gasoline use tax exemption and sales tax. Indiana registered retail merchants and businesses located outside indiana may. This form is for income earned. Web general sales tax exemption certificate indiana registered retail merchants and.
St 105 Fill Online, Printable, Fillable, Blank pdfFiller
Visit the tax department website of the state in which you need the exemption, or contact the. Indiana registered retail merchants and businesses located outside indiana may. Enter the purchaser’s information identify the. Web general sales tax exemption certificate. This form is for income earned.
This form is for income earned. Web general sales tax exemption certificate indiana registered retail merchants and. Visit the tax department website of the state in which you need the exemption, or contact the. 1, 2023, gasoline use tax exemption and sales tax. Web general sales tax exemption certificate. Enter the purchaser’s information identify the. Indiana registered retail merchants and businesses located outside indiana may.
This Form Is For Income Earned.
1, 2023, gasoline use tax exemption and sales tax. Visit the tax department website of the state in which you need the exemption, or contact the. Web general sales tax exemption certificate. Indiana registered retail merchants and businesses located outside indiana may.
Web General Sales Tax Exemption Certificate Indiana Registered Retail Merchants And.
Enter the purchaser’s information identify the.





