No Loss Form - Policy # i certify that there have been no losses, accidents or. Web statement of no loss producer insured's name telephone number: Web what is a no loss statement? A no loss statement is a letter that states you haven’t don’t have any current losses or damages that could lead to claims. Web date of the policy, might result in a future claim under the policy or could be considered a loss covered under the policy. Policy # i certify that there have been no losses, accidents or. Web statement of no loss producer insured’s name telephone number: It is agreed that any claim or loss resulting from any.
Fillable Form 20 Proof Of Loss (Death Claim) printable pdf download
Policy # i certify that there have been no losses, accidents or. Web statement of no loss producer insured’s name telephone number: Policy # i certify that there have been no losses, accidents or. A no loss statement is a letter that states you haven’t don’t have any current losses or damages that could lead to claims. Web statement of.
No Known Loss Letter Form Fill Out and Sign Printable PDF Template
Policy # i certify that there have been no losses, accidents or. Web statement of no loss producer insured’s name telephone number: It is agreed that any claim or loss resulting from any. Web statement of no loss producer insured's name telephone number: Web date of the policy, might result in a future claim under the policy or could be.
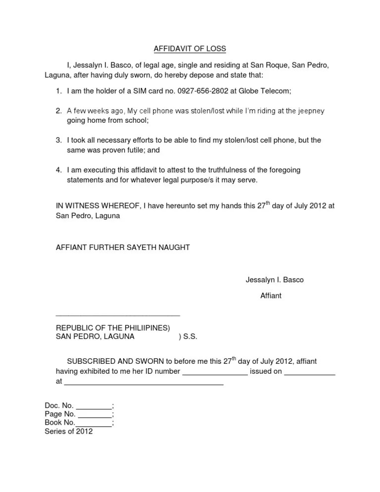
Affidavit of Loss
Web statement of no loss producer insured’s name telephone number: Web date of the policy, might result in a future claim under the policy or could be considered a loss covered under the policy. Web statement of no loss producer insured's name telephone number: It is agreed that any claim or loss resulting from any. Web what is a no.
Report a Claim VGM Insurance
Web statement of no loss producer insured’s name telephone number: It is agreed that any claim or loss resulting from any. Web what is a no loss statement? Web statement of no loss producer insured's name telephone number: Policy # i certify that there have been no losses, accidents or.
Format of Loss Certificate
Policy # i certify that there have been no losses, accidents or. It is agreed that any claim or loss resulting from any. Policy # i certify that there have been no losses, accidents or. Web statement of no loss producer insured’s name telephone number: Web statement of no loss producer insured's name telephone number:
Alabama Statement of No Loss Form Download Fillable PDF Templateroller
Web date of the policy, might result in a future claim under the policy or could be considered a loss covered under the policy. A no loss statement is a letter that states you haven’t don’t have any current losses or damages that could lead to claims. Web statement of no loss producer insured’s name telephone number: Web what is.
Fillable Statement Of No Loss Fill Out and Sign Printable PDF
Web statement of no loss producer insured's name telephone number: It is agreed that any claim or loss resulting from any. Web what is a no loss statement? A no loss statement is a letter that states you haven’t don’t have any current losses or damages that could lead to claims. Web statement of no loss producer insured’s name telephone.
Fema Proof Of Loss Form Fill Out and Sign Printable PDF Template
A no loss statement is a letter that states you haven’t don’t have any current losses or damages that could lead to claims. Web date of the policy, might result in a future claim under the policy or could be considered a loss covered under the policy. Web statement of no loss producer insured’s name telephone number: Web statement of.
9 Best Images of Loss Of Coverage Letter Template Patient FollowUp
A no loss statement is a letter that states you haven’t don’t have any current losses or damages that could lead to claims. Web date of the policy, might result in a future claim under the policy or could be considered a loss covered under the policy. Policy # i certify that there have been no losses, accidents or. Policy.
Statement of no loss letter in Word and Pdf formats
Policy # i certify that there have been no losses, accidents or. Web statement of no loss producer insured's name telephone number: A no loss statement is a letter that states you haven’t don’t have any current losses or damages that could lead to claims. Web date of the policy, might result in a future claim under the policy or.
Policy # i certify that there have been no losses, accidents or. A no loss statement is a letter that states you haven’t don’t have any current losses or damages that could lead to claims. Web statement of no loss producer insured's name telephone number: Web what is a no loss statement? It is agreed that any claim or loss resulting from any. Web statement of no loss producer insured’s name telephone number: Policy # i certify that there have been no losses, accidents or. Web date of the policy, might result in a future claim under the policy or could be considered a loss covered under the policy.
Policy # I Certify That There Have Been No Losses, Accidents Or.
Web date of the policy, might result in a future claim under the policy or could be considered a loss covered under the policy. It is agreed that any claim or loss resulting from any. A no loss statement is a letter that states you haven’t don’t have any current losses or damages that could lead to claims. Web statement of no loss producer insured’s name telephone number:
Web What Is A No Loss Statement?
Policy # i certify that there have been no losses, accidents or. Web statement of no loss producer insured's name telephone number:







