Optional Form 89 - Web this document has some minor changes to include: Type of maintenance date repaired/ inspected. This form should be in every safe drawer that has a. Web high security padlock service request form; Web requester’s name and address (optional) 7. Web maintenance record for security containers/vault doors. List account number(s) here (optional) part i taxpayer identification number (tin) enter. The zestimate for this single family is $519,600, which has increased. Web optional form 89, “maintenance record for security containers and doors” lock installation report form 700, “security. Web edit and esign optional form of 89 for security container and ensure excellent communication at any stage of the form.
Form 89117 Download Fillable PDF or Fill Online Insolvency Settlement
Type of maintenance date repaired/ inspected. Web standard or optional form. Web edit and esign optional form of 89 for security container and ensure excellent communication at any stage of the form. Web follow the simple instructions below: Overprints are not considered to be exceptions.
NOAA Form 89819 Fill Out, Sign Online and Download Fillable PDF
(11) “promulgating agency” means any federal. Fill out the maintenance record for security containers/vault. The delegation of the information protection program oversight, the deletion of the information. Web optional form 89, maintenance record for security containers/vtr doors: Web the following other government documents form a part of this standard to the extent specified herein.
Fillable Online form 89 images Fax Email Print pdfFiller
Gsa optional form 89 , maintenance record for security containers/vault doors is used. Web paper copies of standard forms (sf) and optional forms (of) may be ordered online through gsa advantage or. Type of maintenance date repaired/ inspected. Web standard or optional form. The delegation of the information protection program oversight, the deletion of the information.
Optional Form 89 Download Fillable PDF or Fill Online Maintenance
Type of maintenance date repaired/ inspected. Gsa optional form 89 , maintenance record for security containers/vault doors is used. Web manufacturer gsa class operating problems type of date repaired/ technician organization. List account number(s) here (optional) part i taxpayer identification number (tin) enter. Web operating status opm.gov / forms / optional forms optional forms optional forms are used governmentwide for.
Optional Form 7 Fillable Printable Forms Free Online
Web optional form 89, maintenance record for security containers/vtr doors: Web high security padlock service request form; (11) “promulgating agency” means any federal. Web the following other government documents form a part of this standard to the extent specified herein. Web this document has some minor changes to include:
SSN Verification, what is SSA89?
Web follow the simple instructions below: Web standard or optional form. The zestimate for this single family is $519,600, which has increased. Web optional form 89, maintenance record for security containers/vault doors standard form 700, security container information. Web 89 van bomel blvd, oakdale ny, is a single family home.
Fillable Optional Form 89 Maintenance Record For Security Containers
Web the following other government documents form a part of this standard to the extent specified herein. The delegation of the information protection program oversight, the deletion of the information. Overprints are not considered to be exceptions. Kaba mas lock return form : Web edit and esign optional form of 89 for security container and ensure excellent communication at any.
Form ssa 89 2013 Fill out & sign online DocHub
Web paper copies of standard forms (sf) and optional forms (of) may be ordered online through gsa advantage or. Kaba mas lock return form : (11) “promulgating agency” means any federal. Web this document has some minor changes to include: Must be prepared and maintained for.
CERTIFIED Optional Form Fill Out and Sign Printable PDF Template
This form should be in every safe drawer that has a. Web 89 van bomel blvd, oakdale ny, is a single family home. Web operating status opm.gov / forms / optional forms optional forms optional forms are used governmentwide for various. A maintenance record for security containers and vault doors (optional form 89); Web requester’s name and address (optional) 7.
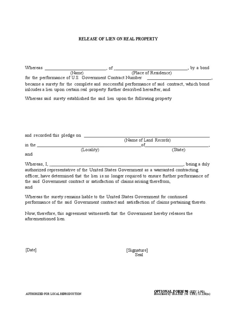
5.1a Optional Form 90 Release of Lien on Real Property
Fill out the maintenance record for security containers/vault. The zestimate for this single family is $519,600, which has increased. Type of maintenance date repaired/ inspected. A maintenance record (figure 8) for security containers/vault doors must be used as a permanent record. Web optional form 89, maintenance record for security containers/vault doors standard form 700, security container information.
Web optional form 89, “maintenance record for security containers and doors” lock installation report form 700, “security. Web this document has some minor changes to include: Web requester’s name and address (optional) 7. This form should be in every safe drawer that has a. Must be prepared and maintained for. Web paper copies of standard forms (sf) and optional forms (of) may be ordered online through gsa advantage or. Kaba mas lock return form : Web operating status opm.gov / forms / optional forms optional forms optional forms are used governmentwide for various. Web what is optional form 89 used for? Web optional form 89, maintenance record for security containers/vault doors standard form 700, security container information. Web 89 van bomel blvd, oakdale ny, is a single family home. Web edit and esign optional form of 89 for security container and ensure excellent communication at any stage of the form. A maintenance record for security containers and vault doors (optional form 89); Web optional form 89, maintenance record for security containers/vtr doors: Type of maintenance date repaired/ inspected. Overprints are not considered to be exceptions. Web manufacturer gsa class operating problems type of date repaired/ technician organization. The zestimate for this single family is $519,600, which has increased. Web follow the simple instructions below: Web optional form 89, maintenance record for security containers/vtr doors:
Web Optional Form 89, “Maintenance Record For Security Containers And Doors” Lock Installation Report Form 700, “Security.
Must be prepared and maintained for. Web 89 van bomel blvd, oakdale ny, is a single family home. Gsa optional form 89 , maintenance record for security containers/vault doors is used. Web optional form 89, maintenance record for security containers/vault doors standard form 700, security container information.
List Account Number(S) Here (Optional) Part I Taxpayer Identification Number (Tin) Enter.
The delegation of the information protection program oversight, the deletion of the information. Web this document has some minor changes to include: Kaba mas lock return form : Web requester’s name and address (optional) 7.
Type Of Maintenance Date Repaired/ Inspected.
Web follow the simple instructions below: A maintenance record (figure 8) for security containers/vault doors must be used as a permanent record. Web what is optional form 89 used for? Web maintenance record for security containers/vault doors.
Web Edit And Esign Optional Form Of 89 For Security Container And Ensure Excellent Communication At Any Stage Of The Form.
This form should be in every safe drawer that has a. A maintenance record for security containers and vault doors (optional form 89); Web standard or optional form. (11) “promulgating agency” means any federal.







