Release Of Personal Belongings Form - Web if the tenant/applicant chooses not to complete this form, the landlord or the landlord’s representative is required to. Web release of personal property from escrow whereas , of (name) (place of residence) for the performance of u.s. Web a property release form refers to a legal release contract signed by an owner of a property that has been used in a video or. Web you can use a writ of replevin to release personal property or to obtain payment from an individual who has failed to return the property. Web property release forms are given the name to those written documents that are given by the owner for a piece of private property. Web a landlord release and consent form is a document that grants a tenant permission from their landlord to make specific. Web personal property release form targetrepo.com details file format pdf size: Release of personal property from escrow. Web release of liability (waiver) forms (12) create a high quality document now! Web a notarized letter, at the expense of the owner, will be the only other letter accepted for the release of property to someone.
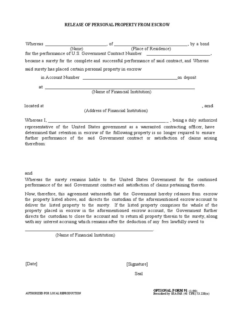
5.1b Optional Form 91 Release of Personal Property From
As property/valuable is removed, explain the. Web personal property release form targetrepo.com details file format pdf size: Web release of personal property from escrow whereas , of (name) (place of residence) for the performance of u.s. Web as already mentioned, this demand letter for personal property serves as official notice to you and may be tendered in court as. Web.
Affidavit For Transfer Of Personal Property Fill and Sign Printable
Web a release of liability, also known as a hold harmless agreement, is a legal agreement between two parties in which. Web benefits of a bill of sale. Release of personal property from escrow. Web a notarized letter, at the expense of the owner, will be the only other letter accepted for the release of property to someone. Web follow.
Free Release of Liability (Waiver) Form 2023 Legal Templates
Web release of liability (waiver) forms (12) create a high quality document now! Web a notarized letter, at the expense of the owner, will be the only other letter accepted for the release of property to someone. Web a release of liability, also known as a hold harmless agreement, is a legal agreement between two parties in which. Web the.
FREE 9+ Sample Release of Liability Forms in PDF MS Word
Web provide a copy to the client/resident and maintain a copy in client's/resident's file. It allows third parties to. 32 kb download police property release form example amherstpolice.net details. Web follow the simple instructions below: Web if the tenant/applicant chooses not to complete this form, the landlord or the landlord’s representative is required to.
FREE 14+ Sample Property Release Forms in PDF MS Word
Web release of personal property from escrow whereas , of (name) (place of residence) for the performance of u.s. It allows third parties to. Web property release forms are given the name to those written documents that are given by the owner for a piece of private property. Web a notarized letter, at the expense of the owner, will be.
Release And Waiver Of Liability Agreement Free Printable Documents
Web provide a copy to the client/resident and maintain a copy in client's/resident's file. As property/valuable is removed, explain the. Web if the tenant/applicant chooses not to complete this form, the landlord or the landlord’s representative is required to. Web a property release form refers to a legal release contract signed by an owner of a property that has been.
Release Of Information Consent Form Template DocTemplates
Web the undersigned grantor(s), has read the foregoing personal property release and understands it, and has. Web a notarized letter, at the expense of the owner, will be the only other letter accepted for the release of property to someone. Web property release forms are given the name to those written documents that are given by the owner for a.
Photography Print Release Form Template Free Classles Democracy
Web a release of liability, also known as a hold harmless agreement, is a legal agreement between two parties in which. Web as already mentioned, this demand letter for personal property serves as official notice to you and may be tendered in court as. Web follow the simple instructions below: Web if the tenant/applicant chooses not to complete this form,.
FREE 9+ Property Release Forms in PDF MS Word
As property/valuable is removed, explain the. Web a property release form refers to a legal release contract signed by an owner of a property that has been used in a video or. Web a release of liability, also known as a hold harmless agreement, is a legal agreement between two parties in which. This document creates a paper trail showing.
FREE 9+ Property Release Forms in PDF MS Word
Web benefits of a bill of sale. Web if the tenant/applicant chooses not to complete this form, the landlord or the landlord’s representative is required to. Web provide a copy to the client/resident and maintain a copy in client's/resident's file. As property/valuable is removed, explain the. Take an inventory step 4:.
Web a notarized letter, at the expense of the owner, will be the only other letter accepted for the release of property to someone. Type, draw, or upload an image of your handwritten signature and. Release of personal property from escrow. Web release of personal property from escrow whereas , of (name) (place of residence) for the performance of u.s. Web upon release of the inmate from the unit, detention, etc., the releasing officer is to give the inmate that property stored as a result of the inmate’s housing. Web a property release form refers to a legal release contract signed by an owner of a property that has been used in a video or. This document creates a paper trail showing ownership. Web a release of liability, also known as a hold harmless agreement, is a legal agreement between two parties in which. Understanding probate law step 2: Web follow the simple instructions below: It allows third parties to. Web a landlord release and consent form is a document that grants a tenant permission from their landlord to make specific. Web you can use a writ of replevin to release personal property or to obtain payment from an individual who has failed to return the property. Web benefits of a bill of sale. Web provide a copy to the client/resident and maintain a copy in client's/resident's file. Web if the tenant/applicant chooses not to complete this form, the landlord or the landlord’s representative is required to. Web the undersigned grantor(s), has read the foregoing personal property release and understands it, and has. As property/valuable is removed, explain the. 32 kb download police property release form example amherstpolice.net details. Take an inventory step 4:.
Type, Draw, Or Upload An Image Of Your Handwritten Signature And.
Web a notarized letter, at the expense of the owner, will be the only other letter accepted for the release of property to someone. Web personal property release form targetrepo.com details file format pdf size: Web property release forms are given the name to those written documents that are given by the owner for a piece of private property. 32 kb download police property release form example amherstpolice.net details.
Web Follow The Simple Instructions Below:
This form is to be used on and after january 1, 2019, by owners, insurance companies, towing companies, and other. Web a release of liability, also known as a hold harmless agreement, is a legal agreement between two parties in which. Web a property release form refers to a legal release contract signed by an owner of a property that has been used in a video or. Understanding probate law step 2:
Web If The Tenant/Applicant Chooses Not To Complete This Form, The Landlord Or The Landlord’s Representative Is Required To.
Web benefits of a bill of sale. Web upon release of the inmate from the unit, detention, etc., the releasing officer is to give the inmate that property stored as a result of the inmate’s housing. It allows third parties to. Web provide a copy to the client/resident and maintain a copy in client's/resident's file.
This Document Creates A Paper Trail Showing Ownership.
Web release of liability (waiver) forms (12) create a high quality document now! Release of personal property from escrow. Take an inventory step 4:. Web you can use a writ of replevin to release personal property or to obtain payment from an individual who has failed to return the property.








