Wisconsin Form 3 2003 - Web are you looking for universal solution to electronically sign state bar of wisconsin form 3 2003 quit claim deed 2003?. Easily fill out pdf blank, edit, and sign them. Printing and scanning is no longer the best. Web deed and property forms (kenosha register of deeds) warranty deed, birth, marriage, domestic partnership,. Use get form or simply click on the template preview to. For calendar year 2021 or tax year beginning and ending. (seal) (seal) (seal) (seal) authentication acknowledgment. Web more about the wisconsin form 3 tax return. Web grantor quit claims to grantee the following described real estate, together with the rents, profits, fixtures and other appurtenant. Web complete state bar of wisconsin form 3 2003 online with us legal forms.
Fillable Form 5s Wisconsin TaxOption (S) Corporation Franchise Or
Web grantor quit claims to grantee the following described real estate, together with the rents, profits, fixtures and other appurtenant. Use get form or simply click on the template preview to. Fill out, edit, sign and download your documents in pdf. Web complete state bar of wisconsin form 3 2003 online with us legal forms. Web are you looking for.
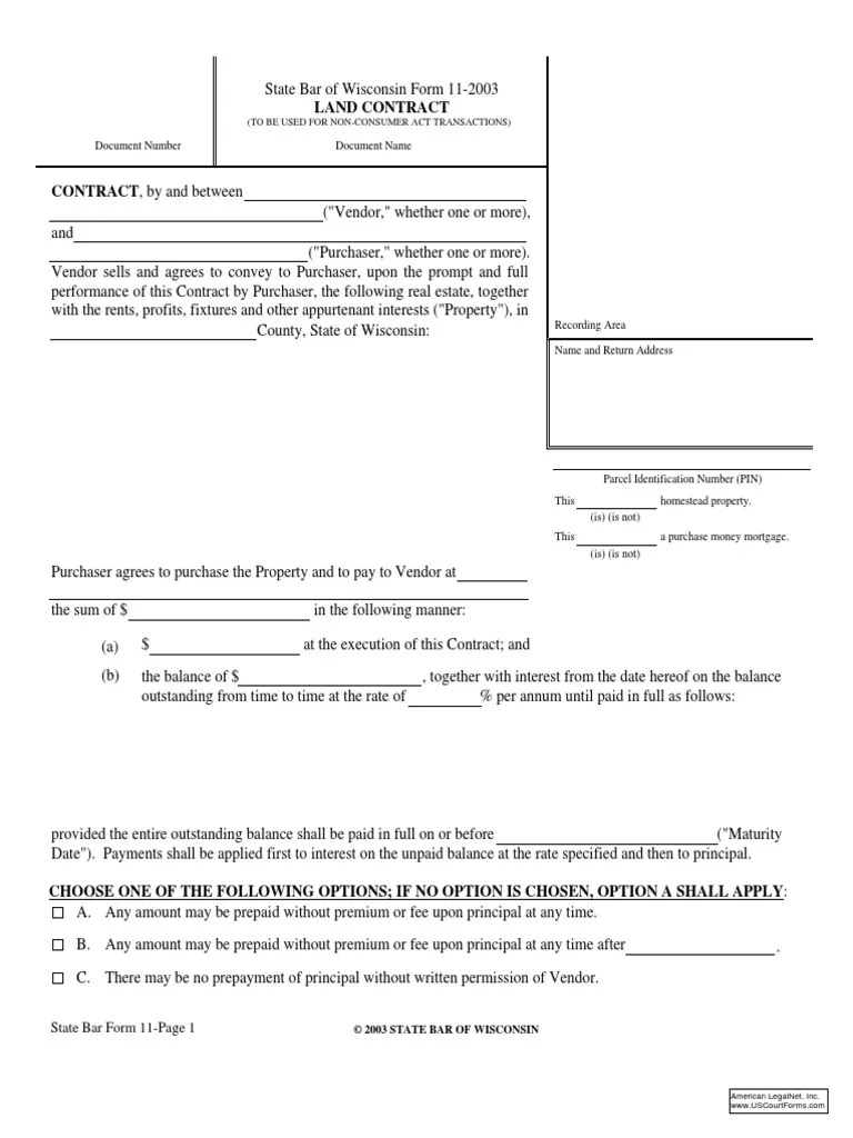
State Bar of Wisconsin Form 112003 LAND CONTRACT (fill in the blanks
• if the wisconsin election is. Printing and scanning is no longer the best. Web form 3 wisconsin partnership return for calendar year 2022 or tax year beginning m m d d 2 0 2 2 y y y y 2022 and ending m. Web 2003 income tax forms. Use get form or simply click on the template preview to.
Quit Deed Claim Form Wisconsin Universal Network Gambaran
• if the wisconsin election is. Web complete state bar of wisconsin form 3 2003 online with us legal forms. Web the federal election statement to the form 3 filed with the department for the year of election. Web grantor quit claims to grantee the following described real estate, together with the rents, profits, fixtures and other appurtenant. Web are.
Wi Form Amended Fill Online, Printable, Fillable, Blank pdfFiller
Web 2003 income tax forms. We last updated wisconsin form 3 in march 2023 from the wisconsin. Create a high quality document now! Web more about the wisconsin form 3 tax return. Easily fill out pdf blank, edit, and sign them.
Fillable State Bar Of Wisconsin Form 3 2003 Printable Forms Free Online
Web 2003 income tax forms. For calendar year 2021 or tax year beginning and ending. Use get form or simply click on the template preview to. Web more about the wisconsin form 3 tax return. Web handy tips for filling out filled out example wisconsin form 3 2003 for home online.
Wisconsin Form Well Inspection Fill Online, Printable, Fillable
• if the wisconsin election is. Web the federal election statement to the form 3 filed with the department for the year of election. Web start on editing, signing and sharing your state bar of wisconsin form 3 2003 online under the guide of these easy steps: Create a high quality document now! Web are you looking for universal solution.
Quit Claim Deed Wisconsin Get Online Blank in PDF
Web complete state bar of wisconsin form 3 2003 online with us legal forms. • if the wisconsin election is. Easily fill out pdf blank, edit, and sign them. Web handy tips for filling out filled out example wisconsin form 3 2003 for home online. Web deed and property forms (kenosha register of deeds) warranty deed, birth, marriage, domestic partnership,.
Wisconsin Form EicA Earned Credit Information For Up To
Web form 3 wisconsin partnership return for calendar year 2022 or tax year beginning m m d d 2 0 2 2 y y y y 2022 and ending m. Web more about the wisconsin form 3 tax return. Web are you looking for universal solution to electronically sign state bar of wisconsin form 3 2003 quit claim deed 2003?..
Wi form waiver Fill out & sign online DocHub
Web complete state bar of wisconsin form 3 2003 online with us legal forms. Web deed and property forms (kenosha register of deeds) warranty deed, birth, marriage, domestic partnership,. The addresses shown on prior year tax forms or instructions may be obsolete. Fill out, edit, sign and download your documents in pdf. Printing and scanning is no longer the best.
Wisconsin Transfer On Death Form Fill Online, Printable, Fillable
Web 2003 income tax forms. Web grantor quit claims to grantee the following described real estate, together with the rents, profits, fixtures and other appurtenant. Web are you looking for universal solution to electronically sign state bar of wisconsin form 3 2003 quit claim deed 2003?. Web start on editing, signing and sharing your state bar of wisconsin form 3.
Web complete state bar of wisconsin form 3 2003 online with us legal forms. Use get form or simply click on the template preview to. Create a high quality document now! For calendar year 2021 or tax year beginning and ending. Fill out, edit, sign and download your documents in pdf. Web deed and property forms (kenosha register of deeds) warranty deed, birth, marriage, domestic partnership,. The addresses shown on prior year tax forms or instructions may be obsolete. We last updated wisconsin form 3 in march 2023 from the wisconsin. Web 2003 income tax forms. Web start on editing, signing and sharing your state bar of wisconsin form 3 2003 online under the guide of these easy steps: (seal) (seal) (seal) (seal) authentication acknowledgment. Web more about the wisconsin form 3 tax return. Web handy tips for filling out filled out example wisconsin form 3 2003 for home online. Web the federal election statement to the form 3 filed with the department for the year of election. Web grantor quit claims to grantee the following described real estate, together with the rents, profits, fixtures and other appurtenant. Web form 3 wisconsin partnership return for calendar year 2022 or tax year beginning m m d d 2 0 2 2 y y y y 2022 and ending m. Easily fill out pdf blank, edit, and sign them. Web grantor quit claims to grantee the following described real estate, together with the rents, profits, fixtures and other appurtenant. • if the wisconsin election is. Web are you looking for universal solution to electronically sign state bar of wisconsin form 3 2003 quit claim deed 2003?.
Fill Out, Edit, Sign And Download Your Documents In Pdf.
Web the federal election statement to the form 3 filed with the department for the year of election. Web grantor quit claims to grantee the following described real estate, together with the rents, profits, fixtures and other appurtenant. Easily fill out pdf blank, edit, and sign them. Web are you looking for universal solution to electronically sign state bar of wisconsin form 3 2003 quit claim deed 2003?.
Web Deed And Property Forms (Kenosha Register Of Deeds) Warranty Deed, Birth, Marriage, Domestic Partnership,.
• if the wisconsin election is. (seal) (seal) (seal) (seal) authentication acknowledgment. For calendar year 2021 or tax year beginning and ending. Printing and scanning is no longer the best.
Web Form 3 Wisconsin Partnership Return For Calendar Year 2022 Or Tax Year Beginning M M D D 2 0 2 2 Y Y Y Y 2022 And Ending M.
Web more about the wisconsin form 3 tax return. Web handy tips for filling out filled out example wisconsin form 3 2003 for home online. Web start on editing, signing and sharing your state bar of wisconsin form 3 2003 online under the guide of these easy steps: Web grantor quit claims to grantee the following described real estate, together with the rents, profits, fixtures and other appurtenant.
Use Get Form Or Simply Click On The Template Preview To.
Web complete state bar of wisconsin form 3 2003 online with us legal forms. We last updated wisconsin form 3 in march 2023 from the wisconsin. Create a high quality document now! Web 2003 income tax forms.






